2019考研:高数重点题型之导数与微分法
2018/4/10 16:03:58
来源: 本站
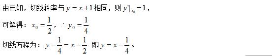
一元函数的导数与微分是微积分的基础,经常出选择题与填空题,可作为求极限、求驻点、求拐点、求多元函数的偏导数与全微分等问题的基础。重点掌握分段函数的导数、隐函数的导数、参数(极坐标)方程确定的函数的导数。变动上限的积分表示的函数的导数每年都考。下面海天考研老师带领大家一起来看导数与微分法的题型和解法:



2025考研人数达388w,考研热度依旧火热!如何备战2026考研?哪个考研专业适合自己?在职考生如何备考?考研知识点繁多,择校困难大,和海天考研咨询老师聊一聊。网课面授多项选,专业辅导1对1,全年集训随时学!

热门推荐



