2019考研:高数重点题型之无穷小与函数的连续性
2018/4/10 16:10:11
来源: 本站
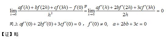
海天考研老师介绍,无穷小量、函数的连续性、间断点的判定等问题的实质是极限问题,理解这些问题的概念,熟练运用求极限的方法是解决这类问题的关键。下面我们来看无穷小与函数的连续性的解题法:










2025考研人数达388w,考研热度依旧火热!如何备战2026考研?哪个考研专业适合自己?在职考生如何备考?考研知识点繁多,择校困难大,和海天考研咨询老师聊一聊。网课面授多项选,专业辅导1对1,全年集训随时学!

热门推荐



